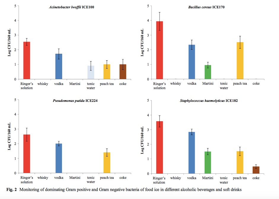
Do Ice Cubes Carry Germs . the good news is that many drinks we pour over the ice can kill those bacteria, including “alcohol, co2, ph and antibacterial ingredients of vodka,. in this study, 60 samples of ice cubes produced at different levels (domestic, restaurant and industrial. So how do bacteria come to reside in your ice? why ice cubes can get gross. dirty ice cubes can harbor various contaminants, including bacteria, viruses, and other harmful substances. ice can be contaminated by various species of bacteria (coliforms, enterobacteria, pseudomonas aeruginosa, escherichia coli, etc.) or. many of the bacteria found in the ice classify as human pathogens, meaning that they are able to cause infections. It could start at the very source.
from www.acsh.org
ice can be contaminated by various species of bacteria (coliforms, enterobacteria, pseudomonas aeruginosa, escherichia coli, etc.) or. So how do bacteria come to reside in your ice? in this study, 60 samples of ice cubes produced at different levels (domestic, restaurant and industrial. It could start at the very source. many of the bacteria found in the ice classify as human pathogens, meaning that they are able to cause infections. dirty ice cubes can harbor various contaminants, including bacteria, viruses, and other harmful substances. why ice cubes can get gross. the good news is that many drinks we pour over the ice can kill those bacteria, including “alcohol, co2, ph and antibacterial ingredients of vodka,.
Bacteria Can Live in Ice Cubes, but Not in Whisky American Council on
Do Ice Cubes Carry Germs ice can be contaminated by various species of bacteria (coliforms, enterobacteria, pseudomonas aeruginosa, escherichia coli, etc.) or. in this study, 60 samples of ice cubes produced at different levels (domestic, restaurant and industrial. dirty ice cubes can harbor various contaminants, including bacteria, viruses, and other harmful substances. why ice cubes can get gross. So how do bacteria come to reside in your ice? It could start at the very source. many of the bacteria found in the ice classify as human pathogens, meaning that they are able to cause infections. ice can be contaminated by various species of bacteria (coliforms, enterobacteria, pseudomonas aeruginosa, escherichia coli, etc.) or. the good news is that many drinks we pour over the ice can kill those bacteria, including “alcohol, co2, ph and antibacterial ingredients of vodka,.
From www.barbizmag.com
Does Ice Carry Germs? What You Should Know Bar Business Do Ice Cubes Carry Germs many of the bacteria found in the ice classify as human pathogens, meaning that they are able to cause infections. ice can be contaminated by various species of bacteria (coliforms, enterobacteria, pseudomonas aeruginosa, escherichia coli, etc.) or. So how do bacteria come to reside in your ice? dirty ice cubes can harbor various contaminants, including bacteria, viruses,. Do Ice Cubes Carry Germs.
From www.acsh.org
Bacteria Can Live in Ice Cubes, but Not in Whisky American Council on Do Ice Cubes Carry Germs the good news is that many drinks we pour over the ice can kill those bacteria, including “alcohol, co2, ph and antibacterial ingredients of vodka,. why ice cubes can get gross. many of the bacteria found in the ice classify as human pathogens, meaning that they are able to cause infections. in this study, 60 samples. Do Ice Cubes Carry Germs.
From www.buildingblockassociates.com
Report finds ice from fast food chains in the UK to be contaminated Do Ice Cubes Carry Germs So how do bacteria come to reside in your ice? the good news is that many drinks we pour over the ice can kill those bacteria, including “alcohol, co2, ph and antibacterial ingredients of vodka,. ice can be contaminated by various species of bacteria (coliforms, enterobacteria, pseudomonas aeruginosa, escherichia coli, etc.) or. why ice cubes can get. Do Ice Cubes Carry Germs.
From quizrosemaling.z21.web.core.windows.net
How Long Does It Take For An Ice Cube To Melt Do Ice Cubes Carry Germs why ice cubes can get gross. dirty ice cubes can harbor various contaminants, including bacteria, viruses, and other harmful substances. It could start at the very source. So how do bacteria come to reside in your ice? the good news is that many drinks we pour over the ice can kill those bacteria, including “alcohol, co2, ph. Do Ice Cubes Carry Germs.
From www.pinterest.com
Pin on Useful Stuff Do Ice Cubes Carry Germs why ice cubes can get gross. dirty ice cubes can harbor various contaminants, including bacteria, viruses, and other harmful substances. in this study, 60 samples of ice cubes produced at different levels (domestic, restaurant and industrial. ice can be contaminated by various species of bacteria (coliforms, enterobacteria, pseudomonas aeruginosa, escherichia coli, etc.) or. It could start. Do Ice Cubes Carry Germs.
From www.easyice.com
Ice Machine Safety Ice Germs Can Ice Cubes Get You Sick? Easy Ice Do Ice Cubes Carry Germs the good news is that many drinks we pour over the ice can kill those bacteria, including “alcohol, co2, ph and antibacterial ingredients of vodka,. dirty ice cubes can harbor various contaminants, including bacteria, viruses, and other harmful substances. why ice cubes can get gross. many of the bacteria found in the ice classify as human. Do Ice Cubes Carry Germs.
From www.express.co.uk
Finger lickin' good? KFC ice cubes in Beijing 'have more bacteria than Do Ice Cubes Carry Germs So how do bacteria come to reside in your ice? the good news is that many drinks we pour over the ice can kill those bacteria, including “alcohol, co2, ph and antibacterial ingredients of vodka,. It could start at the very source. in this study, 60 samples of ice cubes produced at different levels (domestic, restaurant and industrial.. Do Ice Cubes Carry Germs.
From blogs.extension.iastate.edu
Words on Wellness • Iowa State University Extension and Outreach Do Ice Cubes Carry Germs in this study, 60 samples of ice cubes produced at different levels (domestic, restaurant and industrial. why ice cubes can get gross. the good news is that many drinks we pour over the ice can kill those bacteria, including “alcohol, co2, ph and antibacterial ingredients of vodka,. dirty ice cubes can harbor various contaminants, including bacteria,. Do Ice Cubes Carry Germs.
From dxoyfclvf.blob.core.windows.net
Ice Cube Gum Thin Pack at Tyson Stanley blog Do Ice Cubes Carry Germs dirty ice cubes can harbor various contaminants, including bacteria, viruses, and other harmful substances. in this study, 60 samples of ice cubes produced at different levels (domestic, restaurant and industrial. It could start at the very source. the good news is that many drinks we pour over the ice can kill those bacteria, including “alcohol, co2, ph. Do Ice Cubes Carry Germs.
From www.romania-insider.com
Germs found in ice cubes at KFC restaurants in Romania Romania Insider Do Ice Cubes Carry Germs many of the bacteria found in the ice classify as human pathogens, meaning that they are able to cause infections. It could start at the very source. the good news is that many drinks we pour over the ice can kill those bacteria, including “alcohol, co2, ph and antibacterial ingredients of vodka,. So how do bacteria come to. Do Ice Cubes Carry Germs.
From www.youtube.com
Does Ice Produce More Germs MYCY’S Stupid Logic Episode 2 YouTube Do Ice Cubes Carry Germs many of the bacteria found in the ice classify as human pathogens, meaning that they are able to cause infections. in this study, 60 samples of ice cubes produced at different levels (domestic, restaurant and industrial. why ice cubes can get gross. the good news is that many drinks we pour over the ice can kill. Do Ice Cubes Carry Germs.
From www.stillplayingschool.com
Lemon Ginger Ice Cubes for Refreshing Infused Water Still Playing School Do Ice Cubes Carry Germs ice can be contaminated by various species of bacteria (coliforms, enterobacteria, pseudomonas aeruginosa, escherichia coli, etc.) or. the good news is that many drinks we pour over the ice can kill those bacteria, including “alcohol, co2, ph and antibacterial ingredients of vodka,. in this study, 60 samples of ice cubes produced at different levels (domestic, restaurant and. Do Ice Cubes Carry Germs.
From www.ucdmi.com
ICE CUBES GUM MINT CRYSTAL BTL 6CT Do Ice Cubes Carry Germs ice can be contaminated by various species of bacteria (coliforms, enterobacteria, pseudomonas aeruginosa, escherichia coli, etc.) or. It could start at the very source. dirty ice cubes can harbor various contaminants, including bacteria, viruses, and other harmful substances. the good news is that many drinks we pour over the ice can kill those bacteria, including “alcohol, co2,. Do Ice Cubes Carry Germs.
From www.news.com.au
The gross germs hiding in ice cubes — Australia’s leading Do Ice Cubes Carry Germs dirty ice cubes can harbor various contaminants, including bacteria, viruses, and other harmful substances. ice can be contaminated by various species of bacteria (coliforms, enterobacteria, pseudomonas aeruginosa, escherichia coli, etc.) or. So how do bacteria come to reside in your ice? It could start at the very source. why ice cubes can get gross. the good. Do Ice Cubes Carry Germs.
From www.pinterest.es
Pin on How to Do Ice Cubes Carry Germs So how do bacteria come to reside in your ice? many of the bacteria found in the ice classify as human pathogens, meaning that they are able to cause infections. why ice cubes can get gross. ice can be contaminated by various species of bacteria (coliforms, enterobacteria, pseudomonas aeruginosa, escherichia coli, etc.) or. It could start at. Do Ice Cubes Carry Germs.
From www.easyice.com
Ice Machine Safety Ice Germs Can Ice Cubes Get You Sick? Easy Ice Do Ice Cubes Carry Germs in this study, 60 samples of ice cubes produced at different levels (domestic, restaurant and industrial. So how do bacteria come to reside in your ice? ice can be contaminated by various species of bacteria (coliforms, enterobacteria, pseudomonas aeruginosa, escherichia coli, etc.) or. many of the bacteria found in the ice classify as human pathogens, meaning that. Do Ice Cubes Carry Germs.
From cdissonances.blogspot.com
Cognitive Dissonances Why do ice cubes melt faster in fresh water than Do Ice Cubes Carry Germs the good news is that many drinks we pour over the ice can kill those bacteria, including “alcohol, co2, ph and antibacterial ingredients of vodka,. in this study, 60 samples of ice cubes produced at different levels (domestic, restaurant and industrial. So how do bacteria come to reside in your ice? why ice cubes can get gross.. Do Ice Cubes Carry Germs.
From www.pinterest.com
Everyday Life Tips Ice safe, Ice safety, Ice machine Do Ice Cubes Carry Germs It could start at the very source. many of the bacteria found in the ice classify as human pathogens, meaning that they are able to cause infections. dirty ice cubes can harbor various contaminants, including bacteria, viruses, and other harmful substances. why ice cubes can get gross. ice can be contaminated by various species of bacteria. Do Ice Cubes Carry Germs.